Artan

20,00 9.95 09:55
574.900,00 9.5 09:55
26,42 7.92 09:55
523,00 5.92 09:55
58,00 5.55 09:55
Artan Hisseler

Azalan

36,00 -9.95 09:55
4,82 -9.91 09:55
4,26 -5.96 09:55
86,10 -4.39 09:55
68,00 -4.23 09:55
Azalan Hisseler

İşlem

104.132.688,90 09:55
96.494.060,25 09:55
79.779.136,50 09:55
73.645.278,40 09:55
73.411.008,99 09:55
Tüm Hisseler
Sayfa 78/1002 İlkİlk ... 2868767778798088128178578 ... SonSon
Arama sonucu : 8011 madde; 617 - 624 arası.

Konu: Cafe Trend&Trade - V

  1. #617
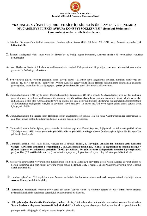
    Barolar birliği : Kamuoyunda İstanbul Sözleşmesi olarak bilinen "Kadına Yönelik Şiddet ve Aile İçi Şiddetin Önlenmesi ve Bunlarla Mücadeleye Dair Avrupa Konseyi Sözleşmesi'nden Türkiye'nin imzasını çekmesi hukuka aykırıdır.

    2. Adı geçen Sözleşmenin onaylanması, 24.11.2011 gün ve 6251 sayılı Kanunla uygun bulunmuştur. Ayrıca bu Sözleşme temel hak ve hürriyetlerin korunmasına ilişkin bir sözleşmedir. Anayasa'nın 90. maddesinin son fıkrasına göre normlar hiyerarşisindeki yeri kanunların üzerindedir.

    3. Usulde paralellik ilkesi ve Sözleşmenin yukarıda açıklanan niteliği gereği, Türkiye Cumhuriyeti Devleti'nin söz konusu Sözleşme'den çekilmesi için çekilme yetkisi veren kanuni bir düzenlemeye ihtiyaç vardır. Bu sebeple Kararname ile çekilme hukuka uygun değildir.

    4. Öte yandan kadına yönelik şiddet ve aile içi şiddet ülkemizin ve tüm dünyanın en önemli meselelerinden biri iken, şiddetle mücadelenin hukuki temellerini zayıflatacak, şiddet eylemlerinin faiillerini psikolojik olarak cesaretlendirecek, mağdurlarına ise korunmasızlık hissi verecek bu çekilme insan haklarının etkin biçimde korunması açısından da kanaatimizce yerinde olmamıştır.

    5. Ayrıca İstanbul Sözleşmesi kamu kurumları ve sivil toplum örgütlerinin görev alanlarını belirleyip, ulusal ve uluslararası işbirliğini teşvik eden bir düzenlemedir. Bugüne kadar bu Sözleşme hükümleri çerçevesinde şiddetle mücadele açısından kurumlar arası işbirliğinde önemli mesafeler katedilmiştir. Kadına yönelik şiddetle ve aile içi şiddetle mücadelede en kapsamlı uluslararası antlaşma olan bu Sözleşmeden çekilme hem bu iş birliğine zarar verecek hem uluslararası alanda Türkiye açısından olumlu olmayacaktır.

    Kamuoyunun bilgilerine saygıyla sunarız.

    “ Umutsuz durumlar yoktur, umutsuz insanlar vardır. Ben hiçbir zaman umudumu yitirmedim.” Mustafa Kemal Atatürk.


    >>> FORUM KURALLARIMIZ <<<


  2. #618
    Duhul
    Feb 2017
    İkamet
    İstanbul
    Yaş
    66
    Gönderi
    12,159

  3. Türkiyede 4 ayda merkez başkani değişimini hazmedemeyen. Kitle.... sizlerere derimki... Bu ülkede faizler %70 ken . 200 lerden bahsetmiyorum..iki yılda bir secim her ay bakan değişimi olduğunu her gün şehit haberleri. Yoksul bir ülke. Arabasiz evler. Ak parti öncesi.. şimdi sokakdaki köperler kediler bile tok kedi köpek yemek secer oldu....kadinin sosyal kimliğine kovuştuğu bu günlerde. Daha iyisi inananin olmaz...yormayın. kendinizi...

  4. #620
    şükredin şükür zenginin fakiri kandırma sistemidir
    bir halt olacağı yok.

  5.  Alıntı Originally Posted by camlık Yazıyı Oku
    Türkiyede 4 ayda merkez başkani değişimini hazmedemeyen. Kitle.... sizlerere derimki... Bu ülkede faizler %70 ken . 200 lerden bahsetmiyorum..iki yılda bir secim her ay bakan değişimi olduğunu her gün şehit haberleri. Yoksul bir ülke. Arabasiz evler. Ak parti öncesi.. şimdi sokakdaki köperler kediler bile tok kedi köpek yemek secer oldu....kadinin sosyal kimliğine kovuştuğu bu günlerde. Daha iyisi inananin olmaz...yormayın. kendinizi...
    gerçekten sizingibi partiperestlerle bu ülkede yaşamak bir ızdırap puta tapan putperesler gibi olmuşsunuz ne diyeyim ALLAHIMA şükür ki aldıgınız havayı içtiginiz suyu da bu zamanda sizlere bu iktidar hediye etti demiyor gazlı lambalarla oturuyordunuz evinizde buzdolabı televizyon yoktu elektirigi de biz icat ettik barajları felan da biz yaptık demiyorsunuz takım tutar gibi partizanlaşmış sizlerle yaşamak büyük bir ızdırap gerçekten yav bizim oyumuzla gelen bu siyasileri bu kadar ilahlaştıran sizlere acıyamıyorum da gerçekten kendim ettim kendim buldum şarkısını dinleyip dursunlar diyorum başka da bir şey demeyecegim sagır olmuş körleşmiş birisine ne denir ki bilen söylesin utanmasanız kadınlar çarşaf giysin erkekler cübbe ve kadınlar bırak denizi sokaga bile çıkmasın da dersiniz bu biad la.
    kurt kuzuyu kaptıgı yeri dokuz defa dolaşırmış
    ben binemeyecegim eşege ot vermem bu biline

  6. #622
    Son durum :


    “ Umutsuz durumlar yoktur, umutsuz insanlar vardır. Ben hiçbir zaman umudumu yitirmedim.” Mustafa Kemal Atatürk.


    >>> FORUM KURALLARIMIZ <<<


  7. Türkiye, kazığın her türlüsünü ayrı ayrı deneyimleyebilmek için mükemmel bir yer. Burada yetişen biri dünyanın başka bir yanında sıkıntı yaşamaz.
    Re-twittlediklerim katıldığım anlamına gelmez!

  8. Bir toplum gerçeklerden ne kadar uzaklaşırsa, gerçeği söyleyenlerden o kadar nefret eder.

    George Orwell
    “Ey kahraman Türk kadını! Sen yerde sürünmeye değil, omuzlar üzerinde göklere yükselmeye layıksın”
    Mustafa Kemal ATATÜRK

Sayfa 78/1002 İlkİlk ... 2868767778798088128178578 ... SonSon

Yer İmleri

Yer İmleri

Gönderi Kuralları

  • Yeni konu açamazsınız
  • Konulara cevap yazamazsınız
  • Yazılara ek gönderemezsiniz
  • Yazılarınızı değiştiremezsiniz
  •